|
Resultados
Un resumen de los resultados obtenidos en la experiencia se
muestra en la tabla siguiente:

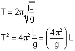
Operando con la ecuación que relaciona periodo y longitud del
péndulo (válida para oscilaciones cuya amplitud no sea mayor
de unos 200, ver:
http://web.educastur.princast.es/proyectos/fisquiweb/Laboratorio/Pend2Bach/calculos.htm
), llegamos a la siguiente expresión:

Si representamos T2 frente a L obtendremos una
recta de pendiente
.
La representación gráfica de los resultados experimentales se
muestra en la imagen:

La ecuación de la recta obtenida se muestra en el recuadro
rojo (R es un coeficiente que indica cómo la recta trazada se
adapta a los puntos. Un valor igual a uno indica que la
adaptación es total).
Adaptando la ecuación obtenida a la representación realizada,
donde y = T2 y x = L, tenemos : T2
= 4,015 L, por tanto:

Avilés (Asturias), lugar donde se ha realizado la experiencia,
se encuentra situado a una latitud de 43,50 N. El
valor de g para esta latitud (ver:
http://www.sc.ehu.es/sbweb/fisica/celeste/forma/forma.htm)
es 9,804 m/s2 . Tomando 9,80 m/s2
como valor verdadero podemos estimar el error
cometido:

Podríamos, por tanto, expresar el valor de g como:
 |