|
|
|
|
|
Cálculos
|
Con el fin de realizar los cálculos necesario deberemos
conocer la densidad lineal de la cuerda, lo que se consigue pesándola y
dividiendo entre la longitud. Para esta experiencia se ha pesado una
cuerda de 2,00 m de longitud, obteniéndose una masa es de 2,7 g. Por
tanto:

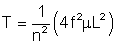
La condición para que se forme una onda con un nodo en cada
extremo, si mantenemos fija la longitud
de la cuerda (L), la propia cuerda y la frecuencia de oscilación
(utilizando un oscilador de 50 Hz), la podemos lograr variando la tensión (T) de forma que
se satisfaga la ecuación para
distintos valores de n:

En lo que sigue la longitud de la cuerda se ha mantenido
constante en 0,60 m (aproximadamente, ver más abajo).
La longitud de onda para cada uno de los armónicos
será distinta, ya que al variar la tensión varía la velocidad de
la onda. |
|
El primer modo de vibración, primer armónico, o modo
fundamental (ver imagen) deberá por tanto formarse cuando la tensión
de la cuerda sea de 5,0 N, lo que se consigue colgando una masa de 0,500
kg:

En la experiencia realizada se ha tenido que acortar
ligeramente la longitud de la cuerda para obtener el primer armónico
consiguiéndose la formación de la onda estacionaria para L = 0,58 m
 |
 |
|
El segundo modo de vibración, o segundo armónico,
aparecerá cuando n = 2. La tensión que deberá darse a la cuerda será
1,25 N, lo que se corresponde con una masa de 125 g:

El segundo armónico (un nodo) se consiguió
experimentalmente con los datos especificados: m = 0,125 kg y L = 0,60
m.
 |
 |
|
|
El tercer modo de vibración, o tercer armónico,
aparecerá cuando n = 3.
La tensión de la cuerda, por tanto debería de ser de
0,56 N, lo que se corresponde con una masa colgada de 0,056 kg:

El tercer modo de vibración tiene dos nodos (ver
imagen). En la experiencia realizada se ha conseguido con la tensión
especificada y L = 0,60 m.
 |
 |
|
|
El cuarto modo de vibración o cuarto armónico
aparecerá cuando n = 4.
La tensión de la cuerda, por tanto debería de ser de
0,32 N, lo que se corresponde con una masa colgada de 0,032 kg:

El cuarto modo de vibración tiene tres nodos (ver
imagen) y en la práctica se ha conseguido para una L = 0,62 m
 |
 |
|
|
|
|
|